1. 경고
티카그렐러는 다른 항혈전제들과 마찬가지로 유의하고, 때때로 치명적인 출혈을 유발할 수 있다. 병리학적 활동성 출혈이 있는 환자나 두개내 출혈 병력이 있는 환자에게 이 약을 투여해서는 안 된다.
가능한 한 모든 수술 전 적어도 5일 전에 티카그렐러의 투여를 중단한다.
최근에 관상동맥조영술, 경피적 관상동맥 중재술(PCI), 관상동맥회로우회술(CABG), 기타 외과적 수술을 받은 환자로, 이 약 투여 시 저혈압 증상이 나타나면 출혈을 의심해야 한다. 가능하면 이 약의 투여를 중단하지 않고 출혈을 치료하도록 한다. 티카그렐러의 투여 중단 시, 심혈관 사건에 대한 위험이 증가한다.
2. 다음 환자에는 투여하지 말 것
1) 이 약의 성분에 과민증이 있는 환자
2) 투약 당시 병적인 출혈(예: 소화성궤양, 두개내 출혈)이 있는 환자
3) 두개내 출혈의 병력이 있는 환자
4) 중증 간장애 환자
5) 강한 CYP3A4 억제제 (예: 케토코나졸, 클래리스로마이신, 네파조돈, 리토나비르, 아타자나비르)를 투여 중인 환자 (병용투여 시 티카그렐러의 과도한 노출 증가를 초래할 수 있다.)
3. 다음 환자에는 신중하게 투여할 것
1) 출혈 위험 증가 환자: 출혈의 위험이 증가된 환자에서 이 약의 사용은 혈전성 심혈관 사건의 발생률 감소 이점과의 균형을 고려해야 한다. 임상적으로 다음에 해당하는 환자에게는 이 약을 신중하게 투여해야 한다.
⚫ 출혈 경향(예: 최근의 외상, 최근의 수술, 응고장애, 위장관 출혈이 현재 있거나 최근 있었던 경우)이 있는 환자, 외상 위험이 높은 환자, 병리학적 출혈이 있는 환자, 두개내 출혈의 병력이 있는 환자 및 중증의 간장애가 있는 환자에서 이 약 투여는 금기이다.
⚫ 출혈의 위험을 증가시킬 수 있는 약물을 병용하고 있는 환자. (예: 이 약 투여 24시간 이내의 비스테로이드성 항염증 약물 (NSAIDs), 경구 항응고제 및/또는 섬유소용해제, 고용량 아스피린)
‑ 와파린 치료 : 이 약을 투여하는 중 와파린을 투여해야 하는 환자는 출혈 경향이 증가할 수 있으므로 주의해야 한다. 와파린과의 약물상호작용에 대한 연구가 수행되지 않았다.
경피적 관상동맥 중재술(PCI)을 받은 출혈 위험이 증가된 급성관상동맥증후군 환자에서 이 약과 아스피린 3개월 간 병용투여 후 이 약 단독투여(아스피린 투여 중단) 시 병용투여 대비 출혈 위험은 감소하였으나, 주요 심혈관계 사건(MACE) 발생 위험의 증가는 관찰되지 않았다. 경피적 관상동맥 중재술(PCI)을 받은 출혈 위험이 증가된 급성관상동맥증후군 환자에서 3개월 간 이 약과 아스피린 병용투여 후 이 약 단독투여(아스피린 투여 중단)로의 전환은 출혈 위험과 혈전성 심혈관 사건의 발생을 고려하여 결정해야 한다.
혈소판 수혈은 건강한 지원자에게서 티카그렐러의 항혈소판 효과를 역전시키지 않았고, 출혈이 있는 환자들에서 임상적 이점이 없을 것으로 예상된다. 데스모프레신과 이 약의 병용투여가 템플릿‑출혈 시간을 감소시키지 않았기 때문에, 데스모프레신은 임상적 출혈 사례를 효과적으로 처치하지 못할 것으로 보인다.
항섬유소용해제 요법 (아미노카프론산 또는 트라넥사민산) 및/또는 재조합 VIIa 혈액응고인자는 지혈을 증가시킬 수 있다. 이 약은 출혈의 원인이 확인 및 조절된 후 다시 투여를 시작할 수 있다.
2) 수술이 예정되어 있는 환자: 수술이 예정되어 있거나 새로운 약물을 복용하기 전에 이 약을 복용하고 있는 환자는 의사 및 치과의사에게 알리도록 해야 한다.
PLATO 연구에서 관상동맥회로우회술 (CABG)이 예정된 환자에서 이 약은 수술 전 1일 이내에 중단될 경우 클로피도그렐보다 출혈이 증가하나 수술 전 2일 이상 중단될 경우에는 클로피도그렐과 비교하여 주요한 출혈에 있어 유사한 비율을 보였다. 수술이 예정되어 있으며 항혈소판 효과를 기대하지 않는 경우에는 이 약의 투여는 수술 5일 전 중단되어야 한다.
3) 서맥성 증상의 위험이 있는 환자 : Holter 심전도 모니터링에서 주로 증상이 없는 심실 휴지가 클로피도그렐 대비 티카그렐러 투여 중 증가된 빈도로 관찰되었다. 서맥성 증상의 위험이 증가된 환자 (예: 동기능부전증후군, 제2도 또는 제3도 방실 차단 혹은 서맥 관련 실신 환자 중 박동조율기가 없는 환자)는 이 약의 안전성과 유효성을 평가하는 주요 시험에서 제외되었다. 따라서 이러한 환자들에서 임상적 경험이 제한적이므로 주의가 요구된다.
또한, 이 약과 서맥을 유발하는 것으로 알려진 다른 약물을 병용하는 경우에 주의해야 한다. 그러나 PLATO 연구에서 서맥을 유발하는 하나 이상의 약물 (예: 96% 베타저해제, 33% 칼슘채널길항제인 딜티아젬, 베라파밀, 4% 디곡신)과 병용 투여 후 임상적으로 유의한 이상반응이 관찰되었다는 증거는 없다.
이 약을 복용하는 환자의 시판 후 경험에서 서맥 부정맥 및 방실 차단이 보고되었다. 주로 급성관상동맥환자에서 보고되었는데, 이 때 심허혈 및 심박수 감소 또는 심전도에 영향을 주는 병용 약물이 잠재적 교란 요인이다. 이 약의 투여를 조절하기 전에 환자의 임상 상태 및 병용 약물을 잠재적 원인으로 평가하여야 한다.
4) 호흡곤란의 위험이 있는 환자:
호흡곤란이 이 약 투여 환자에서 보고되었다. 강도는 일반적으로 경증~중등증이었으며 보통 치료 중단의 필요 없이 해결되었다. 천식/만성폐쇄성폐질환(COPD) 환자는 티카그렐러로 인한 호흡곤란을 나타낼 절대적 위험이 높을 것으로 예상되므로 천식/COPD의 병력이 있는 환자는 이 약 투여 시 주의하여야 한다. 호흡곤란을 일으키는 원인은 명확히 밝혀져 있지 않다. 호흡곤란이 새롭게 발생하거나 호흡곤란이 있는 환자에서 연장 또는 악화가 보고되는 경우 이를 조사하여야 하며, 호흡곤란에 대한 내약성이 없는 경우에 이 약의 치료는 중단되어야 한다.
5) 중추성 수면 무호흡증의 위험이 있는 환자
이 약을 복용하는 환자의 시판 후 경험에서 Cheyne‑Stokes 호흡을 포함한 중추성 수면 무호흡증이 보고되었다. 중추성 수면 무호흡증이 의심되는 경우, 추가 임상 평가를 고려할 수 있다.
6) 허혈성 뇌졸중 환자
허혈성 뇌졸중을 경험한 급성관상동맥환자에게 이 약을 12개월 동안 투여할 수 있다. PEGASUS(심근경색의 병력)와 THEMIS(관상동맥질환 및 제 2형 당뇨병) 연구에서는 허혈성 뇌졸중을 경험한 환자는 제외되어 사용경험이 없으므로, 1년 경과 후 이러한 환자에서의 사용은 권장되지 않는다.
7) 75세 이상 고령자, 중등증 및 중증 신장애 환자, 안지오텐신 II 수용체 저해제를 투여 중인 환자: 크레아티닌은 이 약 투여 중 증가할 수 있다. 원인은 명확히 밝혀져 있지 않다. 투여 1개월 후에 신기능 검사를 하고 이후에는 일상적인 진료에 따라 수행하도록 하며, 특히 75세 이상 환자, 중등증 및 중증 신장애 환자, ARB와 병용하는 환자에서는 유의하도록 한다.
8) 고요산혈증 또는 통풍성 관절염의 병력이 있는 환자: PLATO 연구에서 이 약 복용 환자는 클로피도그렐 복용 환자보다 고요산혈증의 위험이 높은 것으로 나타났다. 고요산혈증 또는 통풍성 관절염의 병력이 있는 환자는 이 약 투여 시 주의하도록 한다. 예방적 처치로서 요산신병증이 있는 환자에서 이 약은 투여하지 않도록 한다.
9) 강한 CYP3A4 유도제 (예: 리팜피신, 페니토인, 카르바마제핀, 페노바르비탈)를 투여 중인 환자 : 병용 시 이 약의 노출 및 유효성에 감소를 초래할 수 있으므로 병용하지 않도록 한다.
10) 디곡신을 투여 중인 환자: 이 약과 병용 시에는 면밀한 임상적 및 실험실적 모니터링이 권장된다.
11) 혈전성 혈소판 감소성 자색반증 (Thrombotic Thrombocytopenic Purpura)이 이 약 투여 시 매우 드물게 보고되었다. 혈전성 혈소판 감소성 자색반증은 신경학적 증상, 신기능 이상 또는 발열을 동반한 혈소판감소증과 미세혈관증 용혈성 빈혈로 확인된다. 이는 치명적인 증상으로 혈장분리교환술을 포함한 신속한 치료가 요구된다.
12) 헤파린 유도 혈소판 감소증 진단검사 방해: 이 약을 투여한 환자에서 혈소판 기능 검사(헤파린 유도 혈소판 활성도 검사를 포함하나 이에 국한되지 않음)를 실시했을 때, 위음성 결과가 보고되었다. 이는 검사 중 사용되는 건강한 공여자 혈소판의 P2Y<SUB>12</SUB>수용체를 환자 혈청/혈장안의 티카그렐러가 억제하는 것과 관련된다. 따라서 헤파린 유도 혈소판감소증 진단을 위해 혈소판 검사 해석시 티카그렐러 투여 여부를 확인하여야 한다. 항응고제와 티카그렐러를 동시에 투여하는 환자에서 헤파린 유도 혈소판 감소증 발생시, 출혈 위험 증가와 헤파린 유도 혈소판 감소증의 전혈전 상태(prothrombotic state)를 고려하여 티카그렐러 지속 사용의 유익성과 위해성을 평가하여야 한다.
4. 이상반응
1) 안전성 프로파일 요약
이 약의 안전성 프로파일은 티카그렐러를 복용한 58,000명 이상의 환자 및 건강한 지원자가 참여한 대규모 개발 프로그램에서 평가되었다. 티카그렐러에 대한 임상 연구 또는 시판 후 경험에서 확인된 약물이상반응에 대한 데이터는 승인된 적응증에 대해 특정한 임상 연구(PLATO, PEGASUS, THEMIS 와 THALES)의 정보를 포함하여 아래에 서술하였다.
PLATO 연구에서 급성관상동맥증후군 [불안정성 협심증, ST 분절 비상승 심근경색(NSTEMI) 또는 ST 분절 상승 심근경색(STEMI)]이 있는 환자에게 티카그렐러(1일 2회, 1회 90mg) 투여 시, 이상반응으로 인한 중단빈도(7.4%)가 클로피도그렐 투여 시(5.4%)보다 높았다. PEGASUS 연구에서 심근경색의 병력(최소 1년 이상 이전에 발생)과 혈전성 심혈관 사건을 발전시킬 높은 위험이 있는 환자에게 티카그렐러(1일 2회, 1회 60mg)와 아스피린 병용 시, 이상반응으로 인한 중단 빈도(16.1%)가 아스피린 단독 투여 시(8.5%)보다 높았다. THEMIS 연구의 경피적 관상동맥 중재술을 받은 환자에게서 티카그렐러(1일 2회, 1회 60mg)와 아스피린 병용투여 시 이상반응으로 인한 중단 빈도(21.3%)가 아스피린 단독 투여 시(13.0%)보다 높았다. THALES 연구에서 티카그렐러(1일 2회, 1회 90mg)와 아스피린 병용투여 시 이상반응으로 인한 중단 빈도(9.7%)가 아스피린 단독 투여 시(7.6%) 보다 높았다.이 약을 투여한 환자에서 가장 흔하게 보고된 이상반응은 출혈 및 호흡곤란이었다.
2) 이상 반응 요약표
티카그렐러 임상연구에서 확인된 이상반응은 MedDRA 기관계 분류에 따라 분류하였고, 발현빈도는 다음과 같이 분류하였다: 매우 흔하게 (≧1/10), 흔하게 (≧1/100, <1/10), 흔하지 않게 (≧1/1000, <1/100), 드물게(≧1/10,000, <1/1,000), 매우 드물게 (<1/10,000), 빈도불명(현재의 자료로부터 예측할 수 없음)
다음의 이상반응이 이 약 투여 임상시험에서 관찰되었다 (표 1).
표 1 ‑ 임상연구에서 관찰된 이상반응의 발현빈도와 기관계별 목록
|
기관계 |
매우 흔하게 |
흔하게 |
흔하지 않게 |
|
양성, 악성 신생물 및 기타 (낭종과 폴립 포함) |
|
|
종양출혈a |
|
혈액 및 림프계 |
혈액질환출혈b |
|
|
|
대사 및 영양 |
고요산혈증c |
통풍 |
|
|
정신 |
|
|
혼돈 |
|
신경계 |
|
어지러움(dizziness), 실신, 두통 |
두개내 출혈l |
|
눈 |
|
|
안구출혈d |
|
귀 및 내이 |
|
현기증(vertigo) |
귀출혈 |
|
혈관계 |
|
저혈압 |
|
|
호흡기계, 흉부 및 종격계 |
호흡곤란 |
호흡기계출혈e |
|
|
위장관계 |
|
위장관계출혈f, 설사, 구역, 소화불량, 변비 |
후복막출혈 |
|
피부 및 피하조직 |
|
피하 또는 피부출혈g, 발진, 가려움증 |
|
|
근골격계 및 결합조직 |
|
|
근육출혈h |
|
신장 및 비뇨기계 |
|
요로출혈i |
|
|
생식기계 |
|
|
생식기계출혈j |
|
실험실적 수치 |
|
혈중크레아티닌상승c |
|
|
상처, 중독 및 시술 합병증 |
|
시술후출혈, 외상출혈k |
|
<SUP>a</SUP> 예: 방광암, 위암, 직장암에서의 출혈
<SUP>b</SUP> 예: 멍 경향 증가, 자발성 혈종, 출혈성 체질
<SUP>c</SUP> 실험실 관찰 결과 (요산이 증가하여 정상 범위를 초과한 경우, 크레아티닌이 기저 대비 50%를 초과하여 증가한 경우)로부터 추산
<SUP>d</SUP> 예: 결막, 망막, 수정체 출혈
<SUP>e</SUP> 예: 비출혈, 객혈
<SUP>f</SUP> 예: 잇몸 출혈, 직장 출혈, 위궤양 출혈
<SUP>g</SUP> 예: 반상출혈, 피부 출혈, 점상출혈
<SUP>h</SUP> 예: 출혈관절증, 근육 출혈
<SUP>i</SUP> 예: 혈뇨, 출혈방광염
<SUP>j</SUP> 예: 질 출혈, 혈정액증, 폐경 후 출혈
<SUP>k</SUP> 예: 타박상, 외상 혈종, 외상 출혈
<SUP>ㅣ</SUP>즉, 자발적, 시술 관련 또는 외상성 두개 내 출혈
시판 후 경험
이 약의 시판 후 다음의 이상반응이 확인되었다. 이는 불특정 인구로부터 자발적으로 보고된 것이므로 신뢰성 있는 빈도를 예측하기는 어렵다.
‑ 혈액 및 림프계 장애: 혈전성 혈소판 감소성 자색반증
‑ 심장 장애: 서맥 부정맥, 방실 차단
‑ 면역계: 혈관부종을 포함한 과민증
‑ 호흡기, 흉부 및 종격 장애: Cheyne‑Stokes 호흡을 포함한 중추성 수면 무호흡증
3) 특정 이상반응 상세 기술
⓵ 출혈
PLATO 연구 결과
PLATO 연구에서 출혈 사례의 전체 결과가 표 2에 제시되어 있다.
표 2 ‑ PLATO 연구의 전체 출혈 사례를 분석하여 Kaplan‑Meier 법으로 예측한 치료 시작 후 12개월에서의 출혈 발생률
| |
티카그렐러 90mg
1일 2회
KM%
N=9235 |
클로피도그렐 75mg
1일 1회
KM%
N=9186 |
P-값 |
|
PLATO 기준 전체 출혈 |
11.6 |
11.2 |
0.4336 |
|
PLATO 기준 주요한 치명적/생명을 위협하는 출혈 |
5.8 |
5.8 |
0.6988 |
|
PLATO 기준 CABG와 무관한 주요한 출혈 |
4.5 |
3.8 |
0.0264 |
|
PLATO 기준 시술과 무관한 주요한 출혈 |
3.1 |
2.3 |
0.0058 |
|
PLATO 기준 전체 주요한 + 경미한 출혈 |
16.1 |
14.6 |
0.0084 |
|
PLATO 기준 시술과 무관한 주요한 + 경미한 출혈 |
5.9 |
4.3 |
<0.0001 |
|
TIMI-기준 주요한 출혈 |
7.9 |
7.7 |
0.5669 |
|
TIMI-기준 주요한 + 경미한 출혈 |
11.4 |
10.9 |
0.3272 |
|
출혈 분류의 정의:
주요한 치명적/생명을 위협하는 출혈: 헤모글로빈이 50 g/L 이상 감소 또는 4 unit 이상의 적혈구 수혈이 필요한 출혈 또는 치명적 출혈 또는 두개내 출혈 또는 심장눌림증이 있는 심장막내 출혈 또는 혈액량감소 쇼크 또는 혈압상승제 또는 수술이 필요한 중증의 저혈압이 있는 출혈
기타의 주요한 출혈: 헤모글로빈이 30-50 g/L 감소, 또는 2-3 unit의 적혈구 수혈이 필요한 출혈 또는 유의한 장애를 일으킬 수 있는 출혈
경미한 출혈: 출혈을 지혈 또는 치료하기 위한 의학적 처치가 필요한 출혈
TIMI 기준 주요한 출혈: 헤모글로빈이 50 g/L 이상 감소하는 출혈 또는 두개내 출혈
TIMI 기준 경미한 출혈: 헤모글로빈이 30-50 g/L 감소하는 출혈 |
티카그렐러와 클로피도그렐은 PLATO 기준 주요한 치명적/생명을 위협하는 출혈, PLATO 기준 전체 주요한 출혈, TIMI 기준 주요한 출혈 또는 TIMI 기준 경미한 출혈 (표 2)의 비율에 있어 다르지 않았다. 그러나 클로피도그렐과 비교시 이 약에서 PLATO 기준 주요한 + 경미한 출혈이 더 많았다. PLATO 연구에서 치명적 출혈은 거의 없었다: 티카그렐러 20명 (0.2%) 및 클로피도그렐 23명 (0.3%).
CABG‑관련 출혈: PLATO 연구에서 관상동맥회로우회술을 받은 1584명 (코호트의 12%) 중에서 42%가 PLATO 기준 주요한 치명적/생명을 위협하는 출혈을 경험하였으며, 치료군 간의 차이는 없었다. 치명적 CABG 관련 출혈은 각 치료군에서 6명씩 발생하였다.
CABG와 무관한 출혈 및 시술과 무관한 출혈:
티카그렐러와 클로피도그렐은 PLATO 기준 CABG와 무관한 주요한 치명적/생명을 위협하는 출혈에 있어 차이가 없었다. 그러나 PLATO 기준 전체 주요한 출혈, TIMI 기준 주요한 출혈 및 TIMI 기준 주요한 + 경미한 출혈은 티카그렐러에서 더 많았다. 이와 유사하게, 모든 시술 관련 출혈을 제외하면 티카그렐러에서 클로피도그렐보다 출혈이 더 많았다 (표 2). 시술과 무관한 출혈로 인한 시험약의 중단은 클로피도그렐(1.2%; p<0.001)보다 이 약(2.9%) 에서 더 많았다.
두개내 출혈: 티카그렐러(26명의 피험자에서 27건, 0.3%)에서 클로피도그렐 (14 건, 0.2%)보다 시술과 무관한 두개내 출혈이 더 많았으며, 그 중, 이 약에서 11건의 출혈 사례 및 클로피도그렐에서 1건의 출혈 사례는 치명적이었다. 전체 치명적 출혈에 있어서 차이는 없었다.
나이, 성별, 체중, 인종, 지리학적 지역, 동반 질환, 병용 요법 및 기존의 뇌졸중 또는 일시적 허혈성 발작을 포함하는 병력은 전체 또는 PLATO 기준 시술과 무관한 주요한 출혈의 예측인자가 아니었다. 따라서 출혈에 대해서 위험이 높은 특정 집단은 없다.
PEGASUS 연구 결과
PEGASUS 연구에서 출혈 사례의 전체 결과가 표 3에 제시되어 있다.
표 3 ‑ PEGASUS 연구의 전체 출혈 사례를 분석하여 Kaplan‑Meier 법으로 예측한 치료 시작 후 36개월에서의 출혈 발생률
| |
티카그렐러 60mg 1일 2회,
(아스피린과 병용)
KM%
N=6958 |
위약
(아스피린 단독)
KM%
N=6996 |
P-값 |
|
TIMI 기준 주요한 출혈
치명적 출혈
두개내출혈
TIMI 기준 기타 주요한 출혈 |
2.3
0.3
0.6
1.6 |
1.1
0.3
0.5
0.5 |
<0.0001
1.0000
0.3130
<0.0001 |
|
TIMI 기준 주요한 + 경미한 출혈 |
3.4 |
1.4 |
<0.0001 |
|
TIMI 기준 주요한 + 경미한 + 의학적 주의가 요구되는 출혈 |
16.6 |
7.0 |
<0.0001 |
|
PLATO 기준 주요한 출혈
치명적/생명을 위협하는 출혈
PLATO 기준 기타 주요한 출혈 |
3.5
2.4
1.1 |
1.4
1.1
0.3 |
<0.0001
<0.0001
<0.0001 |
|
PLATO 기준 주요한 + 경미한 출혈 |
15.2 |
6.2 |
<0.0001 |
|
출혈 분류의 정의:
TIMI 기준 주요한 출혈: 치명적 출혈 또는 두개내 출혈 또는 헤모글로빈 감소량 >50g/L이 동반된 임상적으로 명백한 출혈, 또는 헤모글로빈 자료가 없는 경우 헤마토크릿 감소량 15% 이상
치명적출혈: 7일 이내 사망을 직접적으로 유도하는 출혈
기타 TIMI 기준 주요한 출혈: 치명적 출혈 및 두개내 출혈을 제외한 TIMI 기준 주요한 출혈
TIMI 기준 경미한 출혈: 헤모글로빈 감소량이 30-50g/L으로서 임상적으로 확실한 출혈
PLATO 기준 주요한 치명적/생명을 위협하는 출혈: 헤모글로빈이 50 g/L 이상 감소 또는 4 unit 이상의 적혈구 수혈이 필요한 출혈 또는 치명적 출혈 또는 두개내 출혈 또는 심장눌림증이 있는 심장막내 출혈 또는 혈액량감소 쇼크 또는 혈압상승제 또는 수술이 필요한 중증의 저혈압이 있는 출혈
PLATO 기준 기타 주요한 출혈: 헤모글로빈이 30-50 g/L 감소, 또는 2-3 unit의 적혈구 수혈이 필요한 출혈 또는 유의한 장애를 일으킬 수 있는 출혈
PLATO 기준 경미한 출혈: 출혈을 멈추거나 치료하기 위해 의학적 시술이 요구되는 출혈 |
PEGASUS 연구에서 티카그렐러 60mg 1일 2회 병용 시, 아스피린만 단독 투여했을 때보다 TIMI 기준 주요한 출혈이 많았고, 치명적 출혈의 위험은 증가하지 않았으며 두개내 출혈은 경미하게 증가한 것으로 나타났다. 연구 중 치명적 출혈은 티카그렐러 60mg 병용군에서 11건 (0.3%), 아스피린 단독 투여군에서 12건 (0.3%)으로 많지 않았다. 티카그렐러 60mg 병용군에서 TIMI 기준 주요한 출혈의 위험이 증가한 것은 위장관계 사건 때문에 기타 주요한 출혈의 빈도가 높아진 것이 주원인이었다.
출혈 경향이 증가하는 양상은 TIMI 기준 주요한 출혈, TIMI 기준 주요한 또는 경미한 출혈, PLATO 기준 주요한 출혈 및 PLATO 기준 경미한 출혈에서 유사했다 (표 3). 출혈로 인한 투약 중단은 티카그렐러 60mg 병용군 (6.2%)에서 아스피린 단독 투여군 (1.5%)보다 더 빈도가 높았으며, 이들 출혈의 대부분은 중증도가 낮은 (TIMI 기준 의학적 주의가 요구되는 출혈로 분류) 비출혈, 멍, 혈종 등이었다.
티카그렐러 60mg의 출혈 프로파일은 TIMI 기준 주요한 출혈, TIMI 기준 주요한 출혈 또는 경미한 출혈 및 PLATO 기준 주요 출혈 사건에 대하여, 사전 정의된 여러 하위군 (예: 나이, 성별, 체중, 인종, 지리학적 지역, 동반 질환, 병용 요법 및 병력) 간에 일정하였다.
두개내 출혈: 자발적 두개내 출혈은 티카그렐러 60mg 병용군 및 아스피린 단독 투여군에서 유사하게 보고되었다 (각각 13건, 0.2%). 외상 및 시술에 의한 두개내 출혈은 티카그렐러 60mg 투여군(15건, 0.2%)에서 아스피린 단독 투여군(10건, 0.1%)보다 경미하게 많았다. 치명적 두개내 출혈은 티카그렐러 60mg 병용군에서 6건, 아스피린 단독 투여군에서 5건이 있었다. 연구 모집단의 유의한 동반이환율과 심혈관계 위험을 고려했을 때 양쪽 치료군 모두에서 두개내 출혈의 발생률은 낮았다.
THEMIS 연구 결과
THEMIS 연구에서 출혈 사례의 전체 결과가 표 4에 제시되어 있다.
표 4‑THEMIS 연구 중 PCI를 받은 환자들을 대상으로 출혈 사례를 분석하여 Kaplan‑Meier 법으로 예측한 치료 시작 후 36개월에서의 출혈 발생률
|
|
티카그렐러 60mg 1일 2회,
아스피린과 병용
N=5536 |
아스피린 단독
N=5564 |
|
|
안전성 평가변수 |
KM% |
위험 비율
(95% CI) |
KM% |
p-값 |
|
TIMI 기준 출혈 분류 |
|
주요한 출혈 |
2.4 |
2.03 (1.48, 2.76) |
1.3 |
<0.0001 |
|
주요한 + 경미한 출혈 |
3.4 |
2.23 (1.70, 2.92) |
1.7 |
<0.0001 |
|
주요한 + 경미한 + 의학적 주의가 요구되는 출혈 |
13.1 |
2.28 (1.99, 2.62) |
6.3 |
<0.0001 |
|
PLATO 기준 출혈 분류 |
|
주요한 출혈 |
3.8 |
2.22 (1.72, 2.86) |
1.9 |
<0.0001 |
|
치명적/생명을 위협하는 출혈 |
2.5 |
2.10 (1.54, 2.86) |
1.3 |
<0.0001 |
|
기타 주요한 출혈 |
1.5 |
2.53 (1.64, 3.93) |
0.6 |
<0.0001 |
|
출혈 분류의 정의
TIMI 기준 주요한 출혈: 치명적 출혈 또는 두개내 출혈 또는 헤모글로빈 감소량 ≥50g/L이 동반된 임상적으로 명백한 출혈, 또는 헤모글로빈 자료가 없는 경우 헤마토크릿 감소량 15% 이상
CABG관련 출혈: 치명적 출혈 또는 수술 전 후 두개내 출혈 또는 출혈을 조절하기 위해 흉골 절개술을 완료한 후 재수술 또는 48시간 이내에 전혈 또는 PRBC 5unit 이상의 수혈(혈액 계산 시 세포 보호기 수혈은 포함되지 않음) 또는 24시간 이내에 흉관 삽입 배액량 2L초과
TIMI 기준 경미한 출혈: 헤모글로빈 감소량이 30-50g/L으로서 임상적으로 확실한 출혈 또는 헤마토크릿 감소량이 10% 이상, 15% 미만 또는 관찰된 출혈이 없는 경우; 헤모글로빈 감소량이 40g/L이상 또는 헤마토크릿 감소량이 12% 이상.
TIMI 기준 의학적 주의가 요구되는 출혈: 개입이 필요하거나 입원으로 이어지는 경우 또는 신속한 평가.
PLATO 기준 주요한 치명적/생명을 위협하는 출혈: 치명적 출혈 또는 두개내 출혈 또는 심장눌림증이 있는 심장막내 출혈 또는 혈액량 감소 쇼크 또는 압박/혈압상승제 또는 수술이 필요한 중증의 저혈압 또는 헤모글로빈이 50 g/L 보다 크게 감소하거나 4 unit 이상의 적혈구 수혈이 필요한 임상적으로 명백한 출혈
CABG관련 출혈: 치명적 출혈 또는 수술 전 후 두개내 출혈 또는 출혈을 조절하기 위해 흉골 절개술을 완료한 후 재수술 또는 48시간 이내에 전혈 또는 PRBC 5unit 이상의 수혈(혈액 계산 시 세포 보호기 수혈은 포함되지 않음) 또는 24시간 이내에 흉관 삽입 배액량2L초과
PLATO 기준 기타 주요한 출혈: 헤모글로빈이 30-50 g/L 감소 또는 2-3 unit의 적혈구 수혈이 필요한 출혈 또는 유의한 장애를 일으킬 수 있는 출혈 |
치명적인 출혈은 이 약과 아스피린 병용투여 시 6 건, 아스피린 단독 투여 시 6 건으로 거의 없었다. 두개내 출혈이 있는 환자의 수는 이 약과 아스피린 병용투여 시 33 명, 아스피린 단독 투여 시 31 명 이었다. PCI를 받은 환자에서 출혈로 인한 연구 약물의 중단은 아스피린 단독 투여에 비해 이 약과 아스피린의 병용투여에서 더 흔하게 나타났다. (각각 1.3 % 및 4.7 %). 비출혈과 멍이 드는 경향이 이 약의 투여 중단을 초래한 가장 흔한 출혈 사건이었다.
THALES 연구결과
THALES 연구에서 출혈 사례의 전체 결과가 표 5에 제시되어 있다.
표 5‑THALES 연구의 출혈 사례를 분석하여 Kaplan‑Meier 법으로 예측한 치료 시작 후 30일에서의 출혈 발생률<SUP>a</SUP>
|
|
티카그렐러 90 mg 1일 2회,
아스피린과 병용
N=5523 |
아스피린 단독
N=5493 |
|
|
안전성 평가변수 |
사건 발생
환자 수 |
KM% |
위험 비율
(95% CI) |
사건 발생
환자 수 |
KM% |
p-값 |
|
GUSTO 기준 출혈 분류 |
|
중증 출혈 |
28 (0.5%) |
0.5 |
3.99
(1.74, 9.14) |
7 (0.1%) |
0.1 |
0.001 |
|
중증 + 중증도 출혈 |
36 (0.7%) |
0.6 |
3.27
(1.67, 6.43) |
11 (0.2%) |
0.2 |
<.001 |
|
출혈분류의 정의
GUSTO 기준 중증 출혈: 다음 중 하나에 해당: 치명적 출혈, 두개내 출혈(허혈성 뇌경색의 무증상 출혈성 변형 및 경사-에코MRI에서만 보이는 명백한 10mm 미만의 미세출혈 제외), 개입이 필요한 혈역학적 손상을 유발한 출혈(예: 혈액 또는 체액 대체 또는 혈관수축제/혈압상승제의 지원 또는 외과적 개입이 필요한 90mmHg 미만의 수축기 혈압)
GUSTO 기준 중증도 출혈: 혈역학적 손상없이 전혈 또는 충진된 적혈구 수혈이 필요한 출혈(위에 정의된 대로)
a 전체 분석 세트- 치료 의도 분석: 프로토콜 준수 및 연구에 대한 지속적인 참여 여부에 관계없이 모든 환자를 무작위로 포함 |
THALES 연구에서, GUSTO 기준 중증 출혈의 비율은 1일 2회 티카그렐러 90mg과 아스피린의 병용투여에서 아스피린 단독 투여에 비해 높게 나타났다. GUSTO기준 중증 및 중등도 출혈 범주에서 유사한 출혈패턴이 관찰되었다(표 5). GUSTO기준 중증 출혈 사례의 수가 적기 때문에 하위 그룹 간의 출혈위험에 대한 결론을 도출할 수 없었다. 출혈로 인한 치료 중단은 아스피린 단독 투여(0.6%)에 비해 티카그렐러 90mg과 아스피린의 병용투여(2.9%) 에서 더 흔하게 나타났다.
두개내 출혈과 치명적 출혈: 티카그렐러 90mg과 아스피린 병용투여에서 21건의 두개내 출혈(19건의 자발성, 1건의 외상성, 1건의 시술), 아스피린 단독 투여에서 6 건의 두개내 출혈(3건의 자발성, 2건의 외상성, 1건의 시술)이 있었다. 치명적 출혈은 티카그렐러 90mg과 아스피린 병용투여에서 11명의 환자(10명의 치명적 두개내 출혈, 1명의 치명적 위장출혈), 아스피린 단독 투여에서 2명의 환자(2명의 치명적 두개내 출혈)이 발생했다.
⓶ 호흡곤란
숨이 차는 느낌의 호흡곤란이 이 약 투여 환자에서 보고되었다. PLATO 연구에서 호흡곤란 이상반응(호흡곤란, 휴식시 호흡곤란, 운동호흡곤란, 발작성 야간호흡곤란, 야간호흡곤란 포함)은 이 약 투여(1일 2회, 1회 90밀리그램) 환자의 13.8%, 클로피도그렐 투여 환자(1일 1회 75밀리그램)의 7.8%에서 보고되었다. PLATO 연구에서 이 약 투여 환자의 2.2%, 클로피도그렐 투여 환자의 0.6%에서 치료와 관련한 이상반응으로 판정되었으며, 중대한 이상반응은 거의 없었다 (이 약 0.14%, 클로피도그렐 0.02%). 대부분의 보고된 호흡곤란은 경증에서 중등증이었다. 그리고 대부분은 치료 시작 후 초기에 단독 사례로서 보고되었다.
클로피도그렐과 비교하여, 천식/COPD 환자에서의 이 약 투여시 심각하지 않은 호흡곤란(이 약 3.29%, 클로피도그렐 0.53%), 중증 호흡곤란 (이 약 0.38%, 클로피도그렐 0.00%)을 경험할 비율이 증가한 것으로 나타났다. 절대적인 용어로는 이러한 위험이 전반적인 PLATO 집단에서 높았다. 티카그렐러는 천식 또는 COPD 병력이 있는 환자에 투여시 주의하여야 한다.
발생 건수의 약 30%는 7일 이내에 해소되었다. PLATO 연구는 연구시작 시점에서 울혈성심부전, 만성 폐쇄성 폐질환 또는 천식이 있는 환자들을 포함하였다. 이러한 환자들 및 고령자에서 호흡곤란이 더 많이 보고되었다. 이 약 복용 환자 중 0.9%, 클로피도그렐 복용 환자 중 0.1%가 호흡곤란으로 투약을 중단하였다. 이 약에서 호흡곤란의 더 높은 빈도는 심장 또는 폐질환 발생 또는 악화와 무관하다. 이 약은 폐기능 검사에 영향을 주지 않는다.
PEGASUS 연구에서 호흡곤란은 이 약 투여(1일 2회, 1회 60밀리그램) 환자의 14.2%, 아스피린 단독 투여 환자의 5.5%에서 보고되었다. PLATO 연구에서와 같이, 대부분의 보고된 호흡곤란은 경증에서 중등증이었다. 호흡곤란을 경험한 환자들은 고령이면서 기저 상태에서 호흡곤란, 만성심부전, COPD 또는 천식이 있는 경향을 보였다.
THEMIS 연구 중 PCI를 받은 환자에서, 호흡곤란은 이 약을 아스피린과 병용하여 1일 2회 투여한 환자의 22.0%, 아스피린 단독 투여한 환자의 7.5%에서 보고되었다. 대부분의 보고된 호흡곤란은 경증에서 중등증이었다.
THALES 연구에서, 이 약 90mg을 아스피린과 병용투여하는 환자의 1.0%, 아스피린을 단독 투여한 환자의 0.2%에서 호흡곤란으로 인한 연구약물 중단으로 이어졌다.
⓷ 실험실적 수치 이상(요산 증가)
혈청 요산 수치가 정상 상한치를 초과한 경우는 PLATO 연구에서 클로피도그렐 투여군에서 13%, 이 약 투여군에서 22% 나타났다. PEGASUS 연구에서는 이 약 90밀리그램 투여군, 60밀리그램 투여군, 위약 투여군에서 각각 9.1%, 8.8%, 5.5%로 나타났다.
평균 혈청 요산 수치는 PLATO 연구에서 클로피도그렐 투여군에서 약 7.5%, 이 약 투여군에서 15% 증가하였으며, 투약 중단 후 이 약 투여군에서는 약 7% 감소하였으나 클로피도그렐 투여군에서는 감소되지 않았다. PEGASUS 연구에서는 평균 혈청 요산 수치의 가역적 변화가 이 약 90밀리그램 투여군, 60밀리그램 투여군, 위약 투여군에서 각각 6.3%, 5.6%, 1.5% 나타났다.
통풍성 관절염의 발생빈도는 PLATO 연구에서 이 약 투여군 0.2%, 클로피도그렐 투여군 0.1%였고, PEGASUS 연구에서는 이 약 90밀리그램 투여군, 60밀리그램 투여군, 위약 투여군에서 각각 1.6%, 1.5%, 1.1%로 나타났다.
4) 국내 시판 후 이상사례 보고자료(1989‑2015년)를 토대로 실마리정보 분석▪평가 결과 새로 확인된 이상사례는 다음과 같다. 다만, 이로서 곧 해당성분과 다음의 이상사례 간에 인과관계가 입증된 것을 의미하는 것은 아니다.
◦ 전신 및 투여 부위 이상 : 가슴통증
◦ 호흡기계 : 기침, 폐출혈
※ 국내 시판 후 조사결과
국내에서 재심사를 위하여 6년 동안 급성관상동맥증후군 환자 3,097명을 대상으로 실시한 시판 후 조사 결과, 이상사례의 발현율은 인과관계와 상관없이 50.60% (1,567/3,097명, 총 3,032건)로 보고되었으며, 가장 흔하게 보고된 이상사례는 호흡곤란(15.37%)이었다. 이 중 인과관계와 상관없는 중대한 이상사례 및 인과관계를 배제할 수 없는 중대한 약물이상반응을 발현 빈도에 따라 아래 표에 나열하였다.
|
발현빈도 |
기관계명 |
인과관계와 상관없는
중대한 이상사례
4.88%(151/3,097명, 169건) |
인과관계를 배제할 수 없는
중대한 약물이상반응
1.29%(40/3,097명, 41건) |
|
드물게
(0.1% 미만) |
호흡기계 질환 |
인두염, 상기도감염, 천식, 흉막삼출, 기관지염, 기흉 |
인두염, 폐렴, 폐부종 |
|
전신 질환 |
무력증, 아나필락시스성쇼크 |
- |
|
혈소판, 출혈, 응고장애 |
비출혈, 객혈, 혈종, 뇌출혈 |
비출혈, 객혈, 혈종, 뇌출혈 |
|
중추 및 말초신경계 장애 |
어지러움, 척추관협착, 치매, 편두통, 마비, 보행이상 |
보행이상 |
|
위장관계 장애 |
복통, 설사, 위식도역류, 직장출혈, 항문출혈, 충수돌기염 |
직장출혈, 항문출혈, 충수돌기염 |
|
근육·골격계 장애 |
건질환, 윤활낭염, 횡문근융해 |
- |
|
대사 및 영향 질환 |
당뇨병, 고칼륨혈증, 고혈당증, 갈증, 당뇨병악화 |
- |
|
간 및 담도계 질환 |
간염 |
- |
|
정신질환 |
코골이 |
- |
|
일반 심혈관 질환 |
동맥류 |
심부전 |
|
심장 박동 장애 |
두근거림, 심실성빈맥, 부정맥, 심실세동, 심장정지 |
심실세동 |
|
비뇨기계 질환 |
요로감염, 신결석 |
- |
|
혈관 질환 |
뇌허혈, 정맥협착 |
뇌경색 |
|
심근, 심내막, 심막, 판막 질환 |
동맥협착, 협심증, 관상동맥혈전증, 심근허혈 |
- |
|
방어기전 장애 |
곰팡이감염 |
- |
|
적혈구 장애 |
빈혈 |
- |
|
청력 및 전정기관 장애 |
전정장애 |
- |
|
신생물 |
악성남성생식기신생물 |
- |
|
중독 관련 용어 |
화학적중독 |
- |
|
기타 용어 |
시술후혈종, 열상, 도로교통사고, 외상 |
시술후혈종, 도로교통사고, 외상 |
|
때때로
(0.1~5%미만) |
호흡기계 질환 |
호흡곤란, 폐렴, 폐부종 |
호흡곤란 |
|
전신 질환 |
가슴통증 |
가슴통증 |
|
혈소판, 출혈, 응고장애 |
흑색변, 위장관출혈 |
흑색변, 위장관출혈 |
|
위장관계 장애 |
구역, 구토 |
- |
|
일반 심혈관 질환 |
심부전 |
- |
|
비뇨기계 질환 |
급성신부전 |
- |
|
혈관 질환 |
뇌경색 |
|
|
심근, 심내막, 심막, 판막 질환 |
심근경색증 |
- |
또한, 인과관계와 상관없는 예상하지 못한 이상사례와 인과관계를 배제할 수 없는 예상하지 못한 약물이상반응은 발현 빈도에 따라 다음의 표에 나열하였다.
|
발현빈도 |
기관계명 |
인과관계와 상관없는
예상하지 못한 이상사례
25.99%(805/3,097명, 1,189건) |
인과관계를 배제할 수 없는
예상하지 못한 약물이상반응
7.04%(218/3,097명, 321건) |
|
드물게
(0.1% 미만) |
호흡기계 질환 |
부비동염, 기관지염, 만성폐쇄성기도질환, 후두염, 가래증가, 기관지확장증, 기흉, 수면무호흡, 폐울혈 |
폐부종, 후두염 |
|
전신 질환 |
구강부종, 독감유사증후, 결핵균감염, 고체온, 상세불명의탈장, 숨막힘, 아나필락시스성쇼크, 전신부종 |
말초부종, 얼굴부종, 오한으로인한떨림, 숨막힘 |
|
혈소판, 출혈, 응고장애 |
혈전증, 다리혈전정맥염, 심부정맥혈전증, 심장내혈전, 응고장애, 혈소판증가혈증 |
- |
|
중추 및 말초신경계 장애 |
언어장애, 척추관협착, 치매, 편두통, 뇌저산소증, 두피압통, 마비, 말초신경병증, 목경직, 발성장애, 발작, 보행이상, 신경병증, 신경통, 운동이상증, 진전, 하반신마비, 혼수 |
감각저하, 언어장애, 편두통, 보행이상 |
|
위장관계 장애 |
구강통증, 위장염, 트림, 과민성대장증후군, 구내염, 궤양성구내염, 양성위장관신생물, 충수돌기염, 치아질환, 혀질환 |
구강건조, 위염, 위궤양, 구강통증, 트림, 충수돌기염 |
|
근육·골격계 장애 |
건염, 건질환, 관절증, 연골석회화증, 윤활낭염, 척추골관절염, 횡문근융해 |
관절염 |
|
피부와 부속기관 장애 |
접촉성피부염, 진균피부염, 피부질환, 홍반성발진, 각화과다증, 급성두드러기, 손발톱곰팡이증, 털감소증, 피부경화증, 피부연성섬유종 |
땀증가, 접촉성피부염, 피부질환, 홍반성발진 |
|
대사 및 영양 질환 |
고지혈증, 고중성지방혈증, 당뇨병악화, 고콜레스테롤혈증, 지방이영양증, 탈수 |
갈증, 고중성지방혈증 |
|
간 및 담도계 질환 |
간염, 담석증, 담낭질환, 알칼리인산분해효소증가, 지방간 |
- |
|
정신질환 |
졸림, 신경증, 우울증, 코골이, 환각 |
기억이상, 발기부전, 초조, 신경증 |
|
일반 심혈관 질환 |
동맥류, 청색증 |
고혈압악화, 심부전, 청색증 |
|
심장 박동 장애 |
심실성빈맥, 동정지, 부정맥, 심방성부정맥, 심실세동, 심장정지, 완전방실차단 |
심방세동, 심실성빈맥, 동정지, 심실세동 |
|
비뇨기계 질환 |
요실금, 신결석, 야간뇨, 만성신부전악화, 방광염, 소변이상, 신낭종, 양성콩팥신생물, 요저류, 질소혈증 |
빈뇨, 배뇨곤란, 요로감염, 신결석, 방광염, 신낭종, 요저류 |
|
혈관 질환 |
뇌허혈, 간헐성파행, 정맥협착 |
뇌경색 |
|
시각장애 |
결막염, 당뇨병성망막병증, 백내장 |
시각이상 |
|
심근, 심내막, 심막, 판막 질환 |
동맥협착, 협심증, 관상동맥혈전증, 심근병증, 심근허혈, 심장눌림증, 심장막삼출 |
- |
|
방어기전 장애 |
농양, 곰팡이감염, 구강칸디다증, 대상포진, 세균감염, 식도칸디다증 |
- |
|
적혈구 장애 |
혈액철감소 |
빈혈 |
|
청력 및 전정기관 장애 |
이명, 귀통증, 전정장애 |
이명 |
|
백혈구, RES 장애 |
림프절병증, 호산구증가증 |
백혈구증가증 |
|
생식기능 장애(남성) |
성기능이상 |
전립선비대 |
|
생식기능 장애(여성) |
난소낭종, 무월경, 질염 |
난소낭종 |
|
신생물 |
악성남성생식기신생물, 양성뇌하수체신생물, 지방종 |
- |
|
특수기관 장애 |
미각상실, 이상후각 |
- |
|
내분비 질환 |
TSH증가, 갑상선기능저하증 |
- |
|
투여부위 장애 |
주사부위반응, 주사부위통증 |
- |
|
중독 관련 용어 |
화학적중독 |
|
|
기타 용어 |
뇌진탕, 도로교통사고, 추간판질환, 비약물알레르기, 비중격편위, 수술부위반응, 외상 |
도로교통사고, 외상 |
|
때때로
(0.1~5%미만) |
호흡기계 질환 |
인두염, 가래질환, 폐렴, 비염, 상기도감염, 목구멍자극, 폐부종, 천식, 흉막삼출 |
인두염, 가래질환, 폐렴, 비염, 상기도감염, 목구멍자극 |
|
전신 질환 |
열, 무력증, 다리통증, 부종, 피로, 말초부종, 팔다리통증, 통증, 얼굴부종, 오한으로인한떨림, 체온감각변화 |
열, 무력증, 다리통증, 부종, 피로, 통증 |
|
중추 및 말초신경계 장애 |
감각저하 |
- |
|
위장관계 장애 |
복통, 가슴쓰림, 식욕부진, 상세불명의위장장애, 구토, 위식도역류, 치주염, 구강건조, 위염, 위궤양, 복부팽만, 잇몸염, 충치 |
복통, 가슴쓰림, 식욕부진, 상세불명의위장장애, 구토, 위식도역류 |
|
근육·골격계 장애 |
허리통증, 근육통, 골격통, 관절통, 근육긴장이상, 골절, 관절염, 근위약 |
허리통증, 근육통, 골격통, 관절통 |
|
피부와 부속기관 장애 |
두드러기, 땀증가 |
두드러기 |
|
대사 및 영양 질환 |
저칼륨혈증, 당뇨병, 저칼슘혈증, 상세불명의지질대사장애, 고칼륨혈증, 고혈당증, 갈증, 저마그네슘혈증, 저혈당증 |
저칼륨혈증, 저칼슘혈증, 상세불명의지질대사장애, 고칼륨혈증, 저마그네슘혈증 |
|
간 및 담도계 질환 |
AST증가, ALT증가 |
AST증가, ALT증가 |
|
정신질환 |
불면증, 불안, 기억이상, 발기부전, 초조 |
불면증, 불안 |
|
일반 심혈관 질환 |
기립성저혈압, 고혈압악화, 심부전, 고혈압 |
기립성저혈압 |
|
심장 박동 장애 |
두근거림, 서맥, 심방세동 |
두근거림 |
|
비뇨기계 질환 |
빈뇨, 급성신부전, 배뇨곤란, 요로감염 |
- |
|
혈관 질환 |
뇌경색, 정맥염 |
- |
|
시각장애 |
안구충혈, 안통, 시각이상 |
안구충혈 |
|
심근, 심내막, 심막, 판막 질환 |
심근경색증 |
- |
|
적혈구 장애 |
빈혈 |
- |
|
백혈구, RES 장애 |
백혈구증가증 |
- |
|
생식기능 장애(남성) |
전립선비대 |
- |
|
기타 용어 |
시술부위반응, 열상 |
시술부위반응 |
5. 상호작용
이 약은 주로 CYP3A4의 기질이며 경도의 CYP3A4 저해제이다. 티카그렐러는 또한 P‑당단백(P‑glycoprotein, P‑gp)의 기질이자 약한 P‑gp 저해제로서, P‑gp 기질들의 노출을 증가시킬 수 있다.
1) 다른 약물이 이 약에 미치는 영향
⓵ 강력한 CYP3A4 저해제 ‑ 티카그렐러와 케토코나졸의 병용투여는 티카그렐러의 Cmax 및 AUC를 각각 2.4배 및 7.3배 증가시켰다. 활성대사체의 Cmax 및 AUC는 각각 89% 및 56% 감소하였다. 기타 강력한 CYP3A4 저해제 (예: 클래리스로마이신, 네파조돈, 리토나비르 및 아타자나비르)는 유사한 영향을 가질 것으로 예상되므로 이 약과 병용투여하지 않도록 한다.
⓶ 중등도의 CYP3A4 저해제 ‑ 티카그렐러와 딜티아젬의 병용투여는 티카그렐러의 Cmax를 69% 및 AUC를 2.7배까지 증가시켰으며, 활성대사체의 Cmax를 38% 감소시켰고 AUC에는 변화가 없었다. 티카그렐러가 딜티아젬 혈장 농도에 미치는 영향은 없었다. 기타 중등도의 CYP3A4 저해제들 (예: 암프레나비르, 아프레피탄트, 에리스로마이신, 플루코나졸)은 유사한 영향을 가질 것으로 예상되므로 이 약과 병용투여 할 수 있다.
⓷ CYP3A 유도제: 티카그렐러와 리팜피신의 병용투여는 티카그렐러의 Cmax 및 AUC를 각각 73% 및 86% 감소시켰다. 활성대사체의 Cmax는 변화되지 않았으며 AUC는 46% 감소되었다. 기타 CYP3A4 유도제들 (예: 페니토인, 카르바마제핀, 페노바르비탈) 또한 이 약의 노출 및 유효성을 감소시킬 것으로 예상된다.
⓸ 임상약리학적 상호작용연구들은 티카그렐러와 헤파린, 에녹사파린 및 아스피린과의 병용투여가 티카그렐러 또는 활성대사체에 영향이 없으며 또는 티카그렐러 단독 투여와 비교시 ADP‑유도 혈소판 응집에 영향이 없음을 보였다. 티카그렐러와 헤파린의 병용투여는 활성화 부분 트롬보플라스틴시간(aPTT) 및 활성혈액응고시간(ACT) 분석에 근거하였을 때 헤파린에 미치는 영향이 없었다. 티카그렐러와 에녹사파린의 병용투여는 Xa 인자 분석에 근거하였을 때 에녹사파린에 미치는 영향이 없었다. 임상적으로 지시되는 경우, 지혈작용을 변화시키는 이러한 약물은 이 약과 병용 시 주의하여야 한다.
모르핀 투여를 받고 있는 관상동맥증후군 환자에서, 티카그렐러 및 그 활성 대사체를 포함하여, 경구 P2Y<SUB>12</SUB> 저해제의 노출의 지연 및 감소가 관찰된 바 있다(티카그렐러 노출 35% 감소). 이 상호작용은 위장관 운동성 감소로 인한 것일 수 있으며 다른 마약성 의약품(opioid)도 해당될 수 있다. 임상적 관련성은 알 수 없으나, 티카그렐러와 모르핀 병용 시 티카그렐러의 유효성이 감소될 가능성이 있다. 관상동맥증후군 환자가 모르핀을 중단할 수 없는 상태에서 신속한 P2Y<SUB>12</SUB> 저해가 필요하다고 판단될 때에는 P2Y<SUB>12</SUB> 저해제의 비경구 요법을 고려할 수 있다.
⓹ P‑gp와 CYP3A4 저해제 ‑ 티카그렐러와 사이클로스포린 (600 mg)의 병용투여 시, 티카그렐러의 Cmax 및 AUC가 각각 2.3배, 2.8배로 증가되었다. 사이클로스포린과의 병용에 의해 활성 대사체의 AUC는 32% 증가, Cmax는 15% 감소되었다.
티카그렐러의 노출을 증가시킬 수 있는 다른 CYP3A4 저해제이자 강력한 P‑gp 억제 약물(예: 베라파밀, 퀴니딘)과의 병용투여에 대한 자료는 없다. 임상적으로 지시되는 경우에 이 약의 병용 시 주의하도록 한다.
2) 이 약이 다른 약물에 미치는 영향
⓵ 심바스타틴 ‑ 티카그렐러와 심바스타틴의 병용투여는 심바스타틴의 Cmax를 81% 및 AUC를 56%까지 증가시켰으며 심바스타틴산의 Cmax를 64% 및 AUC를 52%까지 증가시켰고 몇 명에서는 2‑3배 증가하였다. 티카그렐러와 1일 40mg을 초과하는 용량의 심바스타틴과의 병용투여는 심바스타틴의 이상반응을 발생시킬 수 있으므로 잠재적 이익에 대하여 평가하여야 한다. 심바스타틴이 티카그렐러 혈장 농도에 미치는 영향은 없었다. 이 약은 로바스타틴에도 유사한 영향을 미칠 수 있다. 이 약은 심바스타틴 또는 로바스타틴 40mg을 초과하는 용량과 병용이 권장되지 않는다.
⓶ 아토르바스타틴 ‑ 아토르바스타틴과 티카그렐러의 병용투여는 아토르바스타틴산의 Cmax를 23% 및 AUC를 36% 증가시켰다. AUC와 Cmax에 유사한 증가가 모든 아토르바스타틴산 대사체에 대해 관찰되었다. 이러한 증가는 임상적으로 유의하지 않은 것으로 고려된다.
⓷ 티카그렐러는 경도의 CYP3A4 억제제이므로, 이 약과 치료역이 좁은 CYP3A4 기질 (예: 시사프리드, 맥각 알칼로이드)의 병용은 티카그렐러가 이러한 약물의 노출을 증가시킬 수 있으므로 권장되지 않는다.
⓸ CYP2C9에 의해 대사되는 약물 (톨부타미드): 티카그렐러와 톨부타마이드를 병용투여시 각 약물의 혈장 농도에 변화가 없었다. 이는 티카그렐러가 CYP2C9 저해제가 아니며 와파린 및 톨부타미드와 같은 약물의 CYP2C9 매개 대사에 영향을 주지 않음을 시사한다.
⓹ 경구 피임약: 티카그렐러와 레보노르게스트렐 및 에치닐에스트라디올의 병용투여는 에치닐에스트라디올의 노출을 약 20% 증가시켰으나 레보노르게스트렐의 약동학에 영향은 없었다. 이 약과 레보노르게스트렐 및 에치닐에스트라디올을 병용투여 시 경구 피임약의 효과에 임상적으로 유의한 영향은 없다.
➅ P‑gp 기질 (디곡신, 사이클로스포린 포함): 티카그렐러와 병용투여는 디곡신의 Cmax를 75% 및 AUC를 28% 증가시켰다. 티카그렐러와 병용투여 시 디곡신의 평균 최저 농도는 약 30% 증가하였으며 일부 사람에서 최대 농도는 2배까지 증가하였다. 디곡신이 티카그렐러 및 활성대사체의 Cmax 및 AUC에 미치는 영향은 없었다. 따라서 디곡신과 같은 치료역이 좁은 P‑gP 의존 약물과 이 약을 병용투여 시 적절한 임상적 그리고/또는 실험실적 모니터링이 권고된다.
이 약이 사이클로스포린의 혈중 농도에 미치는 영향은 없었으며 다른 P‑gp 기질에 대해서는 연구되지 않았다.
⑦ 로수바스타틴(BCRP 기질): 티카그렐러는 로수바스타틴 농도를 증가시키는 것으로 나타났으며, 횡문근융해증을 포함한 근육병증의 위험을 증가시킬 수 있다. 병용 시 로수바스타틴의 사용으로 인한 주요 심혈관 사건 예방의 이점과 증가된 로수바스타틴 혈장 농도에 따른 위험을 고려해야 한다. 티카그렐러 90mg을 투여하고 1시간 후 로수바스타틴 10mg을 투여하였을 때 로수바스타틴의 Cmax와 AUC가 약 2.6배 증가하였다.
⑧ 기타 병용요법:
‑ 서맥을 유발하는 것으로 알려진 약물: 무증상성 심실휴기 및 서맥이 관찰되므로 이 약과 서맥을 유발하는 것으로 알려진 다른 약물을 병용하는 경우에 주의해야 한다. 그러나 서맥을 유발하는 하나 이상의 약물 (예: 96% 베타저해제, 33% 칼슘채널길항제인 딜티아젬, 베라파밀, 4% 디곡신)과 병용투여 후의 PLATO 연구에서 임상적으로 유의한 이상반응이 관찰되었다는 증거는 없다.
‑ PLATO 연구에서, 이 약은 동반 질환에 따라 필요시 아스피린, 헤파린, 저분자량 헤파린, 정맥용 당단백 IIb/IIIa 저해제, 프로톤 펌프 저해제, 스타틴, 베타‑저해제, 안지오텐신전환 효소 저해제 및 안지오텐신 수용체 저해제와 흔하게 병용투여되었다. 이러한 약물들간의 임상적으로 유의한 이상 상호작용은 관찰되지 않았다.
6. 일반적 주의
1) 급성관상동맥증후군 환자에서, 이 약을 포함한 항혈전제의 조기 중단은 환자의 기저 질환으로 인한 심혈관계 사망, 심근경색 또는 뇌졸중의 위험을 증가시킬 수 있으므로 치료의 조기 중단은 피해야 한다.
2) PLATO 연구에서 300mg을 초과하는 고용량의 아스피린 유지용량이 클로피도그렐과 비교한 티카그렐러의 유효성에 결정적 증거를 제시하지 않는다. 따라서 이 약과 병용투여 시 아스피린의 1일 유지용량으로는 저용량으로서 75‑150mg을 권장한다.
3) 신장투석을 하는 말기 신질환(End Sage Renal Disease)환자에서 이 약의 약동학은 정상신기능 환자와 유사하였다. 그러나 약동학적 유사성이 혈전성 심혈관 사건(심혈관 이상으로 인한 사망, 심근경색, 뇌졸중) 발생 감소와 관련되는지 여부는 확인되지 않았다.
4) 이 약이 운전 및 기계 조작 능력에 미치는 영향에 대한 연구는 없다. 이 약이 운전 및 기계 조작 능력에 미치는 영향은 없거나 미미할 것으로 추정된다. 이 약의 투여 기간 동안, 어지러움 및 혼돈이 보고되었다. 따라서 이러한 증상을 경험한 환자들은 운전 또는 기계 조작 시에 주의하도록 한다.
7. 임부 및 수유부에 대한 투여
1) 가임 여성: 가임 여성은 이 약 투여기간 동안에 임신을 피하도록 적절한 피임을 해야 한다.
2) 임부: 티카그렐러를 임부에 사용한 자료는 없거나 제한적이다. 동물 연구에서 생식 독성을 나타내었다. 이 약은 임신 기간 동안에 권장되지 않는다.
3) 수유부: 현재 동물에서의 약력학/독성학 자료에 따르면 티카그렐러 및 그 활성 대사체는 유즙으로 분비된다. 신생아/영아에 대한 위험을 배제할 수 없다. 수유의 이점과 이 약 투여의 이점에 대해 고려하여 수유를 중단하거나 이 약 투여를 중단해야 한다.
4) 생식력: 이 약은 남성 또는 여성의 생식력에 영향이 없다.
8. 소아에 대한 투여
이 약은 18세 미만에서는 안전성◦유효성이 확립되어 있지 않으므로 투여가 권장되지 않는다(12. 전문가를 위한 정보 참조).
9. 고령자에 대한 투여
75세 이상에서 티카그렐러와 활성대사체에 대한 노출 (티카그렐러의 Cmax 및 AUC는 약 25% 증가)이 젊은 사람보다 증가하고 있으나 임상적으로 유의한 것으로 고려되지 않으므로 고령자에서의 용량 조절은 필요하지 않다.
10. 과량투여시의 처치
이 약에 대해 알려진 해독제는 현재 없으며, 이 약은 투석으로 제거되지 않는다. 과량 투여시 처치는 표준 처치 방법에 따른다. 이 약 과량 투여시 예상되는 영향은 항혈전 작용과 관련된 출혈 위험의 기간이 연장되는 것이다. 출혈이 있는 환자에서 혈소판 수혈로 인한 임상적 이점은 없을 것으로 예상된다 (3. 다음 환자에는 신중하게 투여할 것 참조). 출혈이 발생하는 경우 다른 적절한 처치를 취해야 한다.
티카그렐러는 900mg 까지의 단회 투여에서 내약성이 좋았다. 위장관계 독성은 단회 증량 연구에서 용량제한적이었다. 과량 투여시 발생하는 다른 임상적으로 유의한 이상반응은 호흡곤란 및 심실휴지를 포함한다.
과량 투여시, 이러한 잠재적 이상반응을 관찰하고 ECG 모니터링을 고려한다.
11. 보관 및 취급상의 주의사항
1) 소아의 손이 닿지 않는 곳에 보관할 것.
2) 다른 용기에 넣는 것은 사고원인이 되거나 품질 유지면에서 바람직하지 않으므로 원 용기에 보관할 것.
12. 전문가를 위한 정보
1) 이 약은 선택적, 가역적으로 결합되는 P2Y12 수용체 길항제로서 아데노신이인산염(ADP)으로 매개되는 P2Y12 의존성 혈소판 활성화 및 응집을 방지한다. 이 약은 ADP의 결합을 막지 않으며, P2Y12 수용체에 결합되었을 때 ADP에 의해 유도된 신호 변환을 방해한다. 죽상경화 질환의 혈전 관련 합병증을 유도 및 악화시키는데 혈소판이 관여되기 때문에, 혈소판 기능 저해를 통해 사망, 심근경색 또는 뇌졸중 등의 심혈관계 사건 위험이 감소되는 것으로 나타난바 있다.
이 약은 또한 평형화 뉴클레오시드 수송체‑1(ENT‑1)을 저해함으로써 국소의 내인성 아데노신 농도를 증가시키는 부가적 기전을 갖고 있다.
2) 임상시험 정보
⓵ PLATO 연구는 급성관상동맥증후군 환자 18,624명을 대상으로 한 무작위배정, 이중눈가림, 평행군 임상시험으로, 시험대상자는 티카그렐러 투여군 또는 클로피도그렐 투여군으로 무작위 배정되었고 아스피린을 배경약물로 투여하였다. 동 임상시험에는 불안정성 협심증, ST 분절 비상승 심근경색 또는 ST 분절 상승 심근경색 환자로서 약물 치료, 관상중재시술(PCI) 또는 관상동맥회로우회술(CABG)을 받을 환자가 포함되었다. 아스피린은 75~150mg 투여가 권장되었고, 티카그렐러 투여군은 초회용량으로 티카그렐러 180mg 투여 후 1일 2회, 1회 90mg을, 클로피도그렐 투여군은 초회용량으로 클로피도그렐 300mg 투여 후 1일 1회 75mg을 투여 받았다. 일차 평가변수인 혈전성 심혈관 사건(심혈관 이상으로 인한 사망, 심근경색, 뇌졸중) 발생률이 30일 투여 시 절대 위험 감소(ARR)가 0.6%, 상대 위험 감소(RRR)가 12%로 나타났으며, 이러한 차이는 12개월 동안 유지되었다.
⓶ PEGASUS 연구는 심근경색의 병력이 있고 혈전성 심혈관 사건의 발생 위험이 높은 환자 21,162명을 대상으로 한 무작위배정, 이중눈가림, 평행군 임상시험으로, 시험대상자는 위약 투여군, 티카그렐러 90 mg 투여군 또는 티카그렐러 60 mg 투여군으로 무작위 배정되었고 아스피린을 배경약물로 투여하였다. 동 임상시험에는 1~3년 전에 발생한 심근경색 기왕력이 있고 혈전성 심혈관 사건의 발생 위험이 높은 환자가 포함되었으며, 혈전성 심혈관 사건의 발생 위험이 높은 환자는 다음의 위험 인자 중 한 가지 이상에 해당하는 환자로 정의되었다; 65세 이상, 약물 투여가 요구되는 당뇨병 환자, 최근 사건 이전에 심근경색을 경험한 환자, 다혈관 관상동맥 질환(CAD), 만성 신장애 환자(말기신질환 제외). 아스피린은 75~150mg 투여가 권장되었고, 90mg 투여군은 티카그렐러 1일 2회, 1회 90mg을, 60mg 투여군은 티카그렐러 1일 2회, 1회 60mg을 투여 받았다. 일차 평가변수인 혈전성 심혈관 사건(심혈관 이상으로 인한 사망, 심근경색, 뇌졸중) 발생률은 추적관찰 3년 시점에서 위약 투여군(아스피린 단독 투여)에 비하여 절대 위험 감소(ARR)가 90mg 투여군 및 60mg 투여군에서 각각 1.19% 및 1.27%, 상대 위험 감소(RRR)가 90mg 투여군 및 60mg 투여군에서 각각 15% 및 16%로 나타났다. 티카그렐러 두 용량군에서 유효성은 유사하였으나 출혈 및 호흡곤란의 위험성은 60mg 투여군에서 더 낮았다.
⓷ THEMIS 연구 (관상동맥질환 및 제 2 당뇨병)
THEMIS 연구는 환자 19,220명을 대상으로 한 사건‑주도, 무작위배정, 이중눈가림, 위약대조군, 평행군, 국제적 다기관 임상시험으로, 관상동맥질환 및 제 2형 당뇨병 환자에서 아스피린 단독 투여와 비교하여 티카그렐러와 저용량 아스피린(75‑150mg)의 병용투여의 혈전성 사건예방을 평가하였다. 티카그렐러 치료기간의 중앙값은 33.2개월이었다.
50세 이상, 경피적 관상동맥 중재술(연구집단의 58%) 또는 관상동맥우회술(29%)의 병력으로 정의되는 관상동맥질환을 가지고 있거나, 관상동맥 혈관 재형성의 병력은 없지만 최소 1개의 관상동맥(20%)의 50% 이상의 내강 협착의 혈관조영 증거가 있는 경우 및 연구 시작 전 최소 6개월 동안 혈당 강하 약물로 치료한 제 2형 당뇨병의 경우 이 연구의 참여 대상이었다. 심근경색 또는 뇌졸중의 병력이 있는 환자는 참여할 수 없었다.
THEMIS 연구 전체 모집단에서, 아스피린 단독 투여에 비해 1일 2회 이 약과 아스피린의 병용투여가 혈전 사건 예방에 더 우수했으며(종합 평가변수: 심혈관 이상으로 인한 사망, 심근경색, 뇌졸중), HR 0.90 (95% CI: 0.81, 0.99, p=0.0378), 이는 10%의 상대적 위험 감소(RRR), 0.73% 의 절대적 위험 감소(ARR)에 해당한다. 이러한 결과는 심근경색(HR 0.84, 95% CI: 0.71, 0.98)과 뇌졸중(HR 0.82, 95% CI: 0.67, 0.99)에 의해 나타났으며, 심혈관 이상으로 인한 사망(HR 1.02, 95% CI: 0.88, 1.18)은 차이가 없었다. 이 약은 1차 종합 평가변수로 평가되지 않은 2차 평가변수 중, 허혈성 뇌졸중 사건(HR 0.80, 95% CI: 0.64, 0.99)을 감소시켰고, 모든 요인에 의한 사망(HR 0.98, 95% CI 0.87, 1.10)은 차이가 없었다.
THEMIS 연구 중 PCI를 받은 환자에서, 아스피린 단독 투여에 비해 이 약을 아스피린과 병용투여할 때 혈전 사건을 예방하는 결과를 가져왔으며(종합 평가변수: 심혈관 이상으로 인한 사망, 심근경색, 뇌졸중), HR 0.85 [95% CI: 0.74, 0.97] (표 6 참조), 이는 전체 THEMIS 연구 모집단보다 더 유리한 이익‑위험 균형인 15% RRR, 1.19% ARR에 해당한다. 종합 평가변수에 해당하는 각각의 평가변수에 대해 아스피린 단독 투여에 비해 이 약과 아스피린의 병용투여에서 보고된 사건은 더 적었다.
표 6‑THEMIS PCI환자에서의 1차 및 2차 유효성 평가변수에 대한 분석(전체 분석 세트)
|
|
티카그렐러 60mg 1일 2회,
아스피린과 병용, N=5558 |
위약(아스피린 단독),
N=5596 |
|
|
특성 |
사건발생
환자수 |
KM% |
위험비율
(95% CI) |
사건발생
환자수 |
KM% |
P-값a |
|
1차 평가변수 |
|
종합 |
404 (7.3%) |
6.5 |
0.85
(0.74,0.97) |
480 (8.6%) |
7.7 |
0.0133 |
|
심혈관 이상으로 인한 사망 |
174 (3.1%) |
2.7 |
0.96
(0.78,1.18) |
183 (3.3%) |
2.6 |
0.6803 |
|
심근경색 |
171 (3.1%) |
2.8 |
0.80
(0.65,0.97) |
216 (3.9%) |
3.8 |
0.0266 |
|
뇌졸중 |
96 (1.7%) |
1.6 |
0.74
(0.57,0.96) |
131 (2.3%) |
2.1 |
0.0243 |
|
2차 평가변수 |
|
심혈관 이상으로 인한 사망 |
174 (3.1%) |
2.7 |
0.96
(0.78,1.18) |
183 (3.3%) |
2.6 |
0.6803 |
|
심근경색 |
171 (3.1%) |
2.8 |
0.80
(0.65,0.97) |
216 (3.9%) |
3.8 |
0.0266 |
|
허혈성 뇌졸중 |
88 (1.6%) |
1.4 |
0.79
(0.59,1.04) |
113 (2.0%) |
1.8 |
0.0888 |
|
모든 요인으로 인한 사망b |
282 (5.1%) |
4.2 |
0.88
(0.75,1.03) |
323 (5.8%) |
4.5 |
0.1067 |
|
KM % 값은 36개월 차에 측정되었다.
1일 2회 이 약과 아스피린 병용투여와 아스피린 단독 투여에 대한 위험비율과 P-값은 치료를 유일한 설명 변수로 사용하는 Cox 비례 위험 모델에 의해 계산되었다.
구성 요소인 심혈관 이상으로 인한 사망, 심근경색 및 뇌졸중에 대한 첫 번째 사건 수는 각 구성 요소에 대한 실제 첫 번째 사건 수이며 종합 평가변수의 사건 수에는 합산되지 않았다.
CI = 신뢰구간; KM = Kaplan-Meier;
a 명목p-값 b 동의를 철회한 환자의 공개적으로 사용 가능한 생체 상태 정보를 기반으로 한 사망을 포함한다. |
그림 1 THEMIS PCI환자에서 심혈관 이상으로 인한 사망, 심근경색, 뇌졸중의 1차 임상 종합 평가 변수 분석과 Kaplan‑Meier plot (전체 분석 세트)

이 약을 투여하고 54개월까지의 1차 종합평가변수의 위험 감소(그림1)는 환자가 혈전 사건이 발생할 위험이 있는 한 이 약으로 치료를 계속하는 것이 적절함을 나타낸다.
이 약의 치료효과는 체중, 성별, 병력 및 지리학적 지역을 포함한 환자 특성을 기반으로 한 환자 하위 그룹 전체에서 일관되게 나타났다(그림 2).
그림 2 THEMIS PCI환자의 하위 그룹별 심혈관 이상으로 인한 사망, 심근경색 및 뇌졸중의 1차 임상 종합 평가 변수의 비율과 위험비율(전체 분석 세트)

⓸ THALES 연구(급성 허혈성 뇌졸중 또는 일과성 허혈 발작)
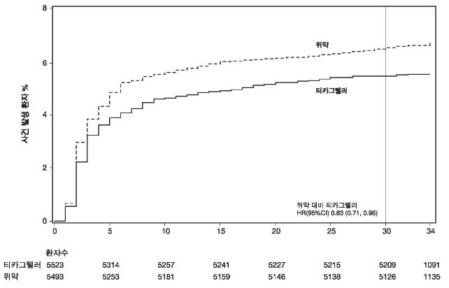
THALES 연구는 환자 11,016명을 대상으로 한 사건‑주도, 무작위배정, 이중눈가림, 위약대조군, 평행군, 국제적 다기관 3상 임상시험으로, 급성 허혈성 뇌졸중 또는 일과성 허혈 발작이 있는 환자에서 아스피린 단독 투여와 비교하여 티카그렐러 90mg과 아스피린의 병용투여가 뇌졸중과 사망을 예방하는데 뛰어나다는 가설을 평가하기 위한 연구이다.
40세 이상, 비 심장 색전성 급성 허혈성 뇌졸중(NIHSS 점수 ≦5) 또는 고위험 일과성 허혈 발작(ABCD<SUP>2</SUP> 점수 ≧6 또는 내경동맥 또는 두개내 동맥에서 동측 죽상 경화성 협착≧50 % 으로 정의되는)이 있는 환자가 참여하였고, 무작위배정 전 24시간 이내에 혈전 용해 또는 혈전 절제술을 받은 환자는 참여할 수 없었다.
이 연구는 급성 허혈성 뇌졸중 또는 일과성 허혈 발작 발병 후 24시간 이내에 무작위 배정된 환자로 구성되었으며, 환자들은 30일 동안 티카그렐러(1일 2회, 1회 90mg, 초회 용량 180mg)과 아스피린 병용투여 또는 아스피린 단독 투여를 받았다. 권장 아스피린 용량은 1일 1회 75‑100mg 이었으며, 초회 용량은 300‑325mg이었다. 평균 치료기간은 31일이었다.
그림 3 THALES 연구에서 뇌졸중, 사망의 1차 임상 종합 평가 변수 분석과 Kaplan‑Meier plot (전체 분석 세트)

표 7‑THALES에서의 1차 및 2차 유효성 평가변수에 대한 분석(전체 분석 세트)
|
|
티카그렐러 90 mg 1일 2회,
아스피린과 병용
N=5523 |
위약(아스피린 단독)
N=5493 |
p-값 |
|
특성 |
사건 발생 환자 수 |
KM% |
위험 비율
(95% CI) |
사건 발생
환자 수 |
KM% |
|
1차 평가변수 |
|
종합 |
303 (5.5%) |
5.4 |
0.83
(0.71, 0.96) |
362 (6.6%) |
6.5 |
0.015 (s) |
|
뇌졸중 |
284 (5.1%) |
5.1 |
0.81
(0.69, 0.95) |
347 (6.3%) |
6.3 |
0.008 |
|
사망 |
36 (0.7%) |
0.6 |
1.33
(0.81, 2.19) |
27 (0.5%) |
0.5 |
0.264 |
|
2차 평가변수 |
|
허혈성 뇌졸중 |
276 (5.0%) |
5.0 |
0.79
(0.68, 0.93) |
345 (6.3%) |
6.2 |
0.004 (s) |
|
1일 2회 이 약 90mg과 아스피린의 병용투여와 아스피린 단독 투여에 대한 위험비율과 P-값은 치료를
유일한 설명 변수로 사용하는 Cox 비례 위험 모델에 의해 계산되었다.
KM % 값은30일차에 측정되었다.
비고: 구성 요소 뇌졸중, 사망에 대한 첫 번째 사건 수는 각 구성 요소에 대한 실제 첫 번째 사건
수이며 종합 평가변수의 사건 수에 합산되지 않았다.
(s) 는 통계적 유의성을 나타낸다.
CI = 신뢰구간; KM = Kaplan-Meier; |
1일 2회 티카그렐러 90mg를 아스피린과 병용투여시 아스피린 단독 투여보다 뇌졸중과 사망의 종합적인 평가변수를 예방하는데 있어 우수했으며, 이는 표 7에 나와있는 17%의 상대위험감소(RRR)와 1.1%의 절대 위험감소(ARR)에 해당한다. 이러한 결과는 1차 평가변수인 뇌졸중의 감소(19% RRR, 1.1% ARR)에 의해 나타났다.아스피린 단독 투여에 비해 이 약과 아스피린의 병용투여에서 허혈성 뇌졸중의 비율이 통계적으로 유의하게 감소(21%RRR, 1.2%%ARR)했다.
미리 정의된 탐색적 분석에서, 아스피린 단독 투여에 비해(188(3.5%)) 티카그렐러 90mg과 아스피린을 병용투여한 환자(150(2.7%))에서 후속 장애 뇌졸중 사건(후속 뇌졸중이 있고 mRS 점수가 2를 초과하는 환자로 정의되는)이 더 적게 나타났다.
동측 죽상 경화성 협착증이 30%를 초과하는 환자를 대상으로 사전 정의된 탐색 분석을 수행하였으며, 아스피린 단독 투여에 비해(132(10.9%)) 티카그렐러 90mg과 아스피린을 병용투여 시(92(8.1%)) 1차 평가변수(뇌졸중과 사망의 종합) 사건이 수치적으로 더 적게 나타났다.
이 약과 아스피린의 병용투여와 아스피린 단독 투여 시 치료효과는 사전 정의된 하위 그룹에서 일관되게 나타났다(그림4 참조).
그림 4 THALES연구의 하위 그룹별 뇌졸중, 사망의 1차 임상 종합 평가 변수의 비율과 위험비율(전체 분석 세트)

⓹ 소아
2세 이상 18세 미만의 겸상적혈구빈혈이 있는 193명의 소아 환자를 대상으로 수행한 무작위배정, 이중눈가림, 평행군, 위약대조 3상 임상시험에서 일차 유효성 평가변수인 혈관막힘위기 발생률의 감소를 입증하지 못하였다.
3) 독성시험 정보
⓵ 임상적 노출 수준과 유사한 수준으로 동물에 노출 시 위장관 자극이 관찰되었다.
⓶ 2년간의 마우스 연구에서 250mg/kg/day (사람에게 사용하는 최대 권장 용량의 18 배 초과)까지 경구 용량 투여시 티카그렐러 관련 종양은 관찰되지 않았다. 수컷 랫드에게 120mg/kg/day (사람에게 사용하는 최대 권장 용량의 15배 초과)까지 경구 용량을 투여시 종양은 증가하지 않았다. 암컷 랫드에서 고용량 (사람에게 사용하는 최대 권장 용량의 25배 초과)으로 노출시에만 자궁 선암종 및 간세포 선종과 선암종이 증가하였으며 뇌하수체 선종 및 유방 섬유샘종은 감소하였다. 60 mg/kg/day (사람에게 사용하는 최대 권장 용량의 8배 초과)에서 종양 발생에 변화는 없었다. 랫드에서 관찰되었던 자궁 종양은 호르몬 불균형의 결과일 것으로 사료되며, 간 샘종은 간에서의 설치류 특이 효소에 의한 것으로 사료된다.
⓷ 랫드 및 토끼에서의 생식독성시험 결과, 모체의 체중 증가의 약간의 감소가 나타났으며 성장 지연과 함께 신생아 생존력 및 출생 당시 체중 감소가 나타났다. 티카그렐러는 암컷 랫드에서 불규칙한 주기 (대개 지연)를 유발하였다. 티카그렐러는 200mg/kg/day (사람에게 사용하는 최대 권장 용량의 약 20배)의 경구 용량까지는 암컷 랫드의 생식력에 영향이 없었으며 180 mg/kg/day(사람에게 사용하는 최대 권장 용량의 15.7배)까지 용량에서 수컷 랫드의 생식력에 영향이 없었다.
⓸ 티카그렐러는 랫드 시험결과, 모체독성용량 (사람에게 사용하는 최대 권장 용량의 5.1배)에서 약간의 발달이상이 나타났다. 토끼에서는 모체독성을 나타내지 않는 고용량(사람에게 사용하는 최대 권장 용량의 4.5배)에서 태자에서 간성숙 및 골격근 발달에 있어 약간의 지연을 보였다.